Matura 2025. Język angielski, poziom rozszerzony. Arkusz CKE i odpowiedzi
Matura 2025 i język angielski na poziomie rozszerzonym. To najczęściej wybierany przedmiot z puli egzaminów dodatkowych. Przystąpiło do niego niemal 198 tys. abiturientów. Test zakończył się o godz. 11:30. Poniżej publikujemy oficjalny arkusz CKE wraz ze wszystkimi odpowiedziami zaproponowanymi przez naszych ekspertów.

Matura 2025 z języka angielskiego na poziomie rozszerzonym rozpoczęła się w czwartek o godz. 9:00. Na rozwiązanie wszystkich zadań zdający mieli 150 minut. Oznacza to, że egzamin zakończył się o godz. 11:30.
Matura 2025 - język angielski na poziomie rozszerzonym. Arkusz CKE i odpowiedzi
Poniżej publikujemy arkusz CKE wraz z odpowiedziami zaproponowanymi przez naszych ekspertów.





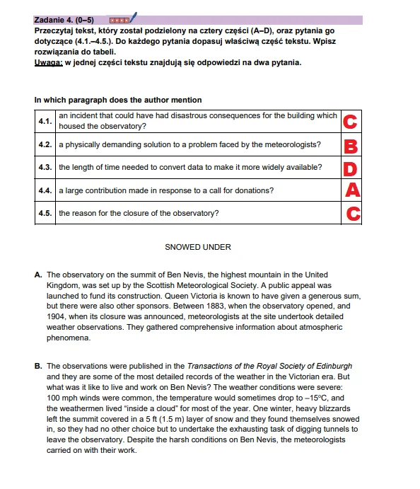
Matura 2025. Arkusz CKE i rozwiązania - strony 6-11






Matura z rozszerzonego angielskiego. Tekst 2: Arkusz CKE i odpowiedzi





Matura 2025. Język angielski - poziom rozszerzony. Praca pisemna - rozprawka lub list

Poniżej propozycja rozwiązania eksperta.
Temat 1
Wstęp - ogólne nawiązanie do tego, jak nowoczesne technologie wpływają na wszystkie aspekty naszego życia, w tym także na naukę
Teza - zajęcia na uczelniach wyłącznie w trybie online mają zarówno dobre, jak i złe strony
Rozwinięcie - argumenty "za": np. oszczędność czasu i pieniędzy (brak konieczności dojazdu na zajęcia, eliminacja kosztów związanych z wynajmowaniem mieszkania i utrzymywaniem się w mieście akademickim przez studentów z innych miast), możliwość lepszego skupienia się na przekazywanych treściach w zaciszu domowym; argumenty "przeciw" - brak możliwości interakcji z innymi studentami, a więc także brak okazji do nawiązywania bliższych możliwości/przyjaźni, brak możliwości korzystania z atrakcji miasta akademickiego (większe ośrodki akademickie oferują zazwyczaj bogatą ofertę kulturalną - muzea, teatry, imprezy)
Podsumowanie - nowe technologie mogą ułatwić organizację czasu i pracy studentom, można i warto z nich korzystać, a uczelnie mogą prowadzić w ten sposób część zajęć - ale nie wszystkie, ponieważ odbywałoby się to ze szkodą dla życia towarzyskiego studentów, uniemożliwiałoby nawiązywanie relacji i budowanie wspólnoty.
Temat 2
Wstęp - omówienie problemu zanikania więzi międzysąsiedzkich i czynników, które na to wpływają (np. szybsze tempo życia, więcej czasu spędzamy "online")
Rozwinięcie - przedstawienie korzyści z budowania relacji z sąsiadami: brak poczucia anonimowości, poczucie przynależności do wspólnoty, posiadanie w najbliższym otoczeniu osób, na których pomoc można liczyć w razie awarii czy choroby itp.
Zakończenie - przedstawienie konkretnego pomysłu na akcję integrującą sąsiadów: np. organizowanie imprezy pod hasłem "dzień sąsiada" raz w miesiącu na osiedlowym patio, z poczęstunkiem; wspólne sprzątanie osiedla lub pielęgnacja osiedlowego ogrodu; dla właścicieli psów - np. Wspólne spacery z pupilami; dla młodych rodziców - wspólna zabawa z dziećmi.
Arkusze CKE i rozwiązania ekspertów Interii z poprzednich egzaminów:
Matura 2025. Język angielski, poziom rozszerzony. Jak wygląda egzamin?
Arkusz CKE z języka angielskiego na maturze rozszerzonej składa się z dwóch części - testowej i pisemnej.
W tej pierwszej do rozwiązania jest 15 zadań weryfikujących umiejętność rozumienia ze słuchu. Kolejne 18 wypełnić trzeba w oparciu o treści zawarte w tekstach pisanych.
Podczas matury 2025 weryfikowana jest także znajomość środków językowych, leksykalno-gramatycznych. Ta część składa się z 14 zadań.
Ostatni etap to praca pisemna - list formalny, rozprawka bądź artykuł publicystyczny. Wypracowanie liczyć musi od 200 do 250 wyrazów. Do zdobycia jest 13 punktów.
Matura 2025 z języka angielskiego. Najczęściej wybierany przedmiot
Chęć zdawania egzaminu z języka angielskiego na poziomie rozszerzonym zadeklarowało 197,9 tys. tegorocznych absolwentów, a na poziomie dwujęzycznym - 7,9 tys. Przedmiot ten jest na pierwszym miejscu wśród przedmiotów wybieranych przez tegorocznych absolwentów - chce go zdawać 71,9 proc. z nich.
Deklaracje przystąpienia do egzaminu z angielskiego na poziomie rozszerzonym złożyło też ok. 940 abiturientów z wcześniejszych roczników zdających maturę zgodnie z tzw. starą formułą.
Matura 2025 z rozszerzonego angielskiego. Nie można jej nie zdać
Aby zdać maturę, abiturient musi uzyskać minimum 30 proc. punktów z egzaminów obowiązkowych (język polski, matematyka, język obcy nowożytny) na poziomie podstawowym. W przypadku przedmiotu na poziomie rozszerzonym nie ma progu zaliczeniowego - wynik z egzaminu służy tylko do rekrutacji na studia.
Oficjalne wyniki CKE maturzyści poznają 8 lipca. Wtedy też otrzymają świadectwa maturalne.
- Matura 2025. Biologia - poziom rozszerzony. Arkusz CKE i odpowiedzi
- Matura 2025. Matematyka - poziom rozszerzony. Arkusz CKE i odpowiedzi
- Matura 2025. WOS - poziom rozszerzony. Arkusz CKE i odpowiedzi
- Matura 2025. Geografia - poziom rozszerzony. Arkusz CKE i odpowiedzi
- Matura 2025. Chemia - poziom rozszerzony. Arkusz CKE i odpowiedzi












