Matura 2024: Matematyka, poziom rozszerzony. Arkusz CKE i odpowiedzi
Maturzyści przystąpili w środę do egzaminu z matematyki rozszerzonej. Jest to drugi najpopularniejszy przedmiot spośród przedmiotów dodatkowych. Egzamin zakończył się o godz. 12. Poniżej publikujemy arkusz CKE w formule 2023 wraz ze wszystkimi odpowiedziami zaproponowanymi przez naszych ekspertów.

Spis treści:
- Matura 2024. Arkusz CKE i rozwiązania - matematyka rozszerzona
- Matura 2024: Matematyka, poziom rozszerzony. Arkusz CKE i odpowiedzi - zadania 1-3
- Matura 2024: Matematyka, poziom rozszerzony. Arkusz CKE i odpowiedzi . Zadania 4-6
- Matura 2024: Matematyka rozszerzona. Arkusz CKE i odpowiedzi. Zadania 7-10
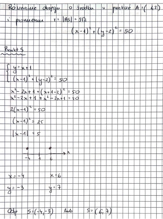
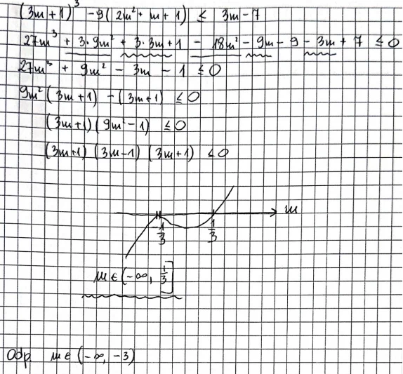
- Matura 2024: Matematyka, poziom rozszerzony. Zadania 10, 11, 12 i 13
- Matura 2024: Matematyka na poziomie rozszerzonym
- Matura 2024: Matematyka rozszerzona. Jak wygląda egzamin?
- Matura 2024: Kiedy wyniki? Można się odwołać?
- Matura 2024. Arkusze CKE i odpowiedzi w Interii
Każdego dnia Interia publikuje maturalne arkusze CKE wraz z rozwiązaniami zadań.
Matura 2024. Arkusz CKE i rozwiązania - matematyka rozszerzona
Poniżej znajduje się arkusz CKE z matematyki rozszerzonej w nowej formule.


Matura 2024: Matematyka, poziom rozszerzony. Arkusz CKE i odpowiedzi - zadania 1-3



Matura 2024: Matematyka, poziom rozszerzony. Arkusz CKE i odpowiedzi . Zadania 4-6



Matura 2024: Matematyka rozszerzona. Arkusz CKE i odpowiedzi. Zadania 7-10




Matura 2024: Matematyka, poziom rozszerzony. Zadania 10, 11, 12 i 13







Najnowsze informacje dotyczące matury 2024 znajdziesz w naszym raporcie specjalnym - kliknij!
Matura 2024: Matematyka na poziomie rozszerzonym
W środę tegoroczni absolwenci szkół średnich przystąpili do egzaminu z matematyki, tym razem na poziomie rozszerzonym. To przedmiot dodatkowy, który zdaje w tym roku około 76 tys. maturzystów. Plasuje to matematykę rozszerzoną na drugim miejscu spośród wszystkich przedmiotów dodatkowych (po języku angielskim).
O godz. 9:00 uczniowie otrzymali arkusze CKE z zadaniami. Na ich rozwiązanie mieli 180 minut. Test zakończył się o godz. 12:00.
Matura 2024: Matematyka rozszerzona. Jak wygląda egzamin?
W arkuszach uczniowie znaleźli od 10 do 14 zadań otwartych. Łączna liczba punktów, jakie można uzyskać za prawidłowe rozwiązanie wszystkich zadań w arkuszu, jest równa 50.
Średni wynik matury 2023 z matematyki rozszerzonej wyniósł 50 proc. (absolwenci liceum w formule 2023) oraz 17 proc. (absolwenci technikum w formule 2015).
Z przedmiotu dodatkowego nie ma progu punktowego. Oznacza to, że matematyki rozszerzonej nie można nie zdać - nawet w przypadku uzyskania wyniku 0 pkt.
Matura 2024: Kiedy wyniki? Można się odwołać?
Wyniki matur zostaną udostępnione 9 lipca. Punktacje z poszczególnych egzaminów maturzyści będą mogli sprawdzić o godzinie 8:30 w Zintegrowanym Interfejsie Użytkownika (ZIU).
Maturzysta, który nie będzie zgadzał się z uzyskaną przez siebie punktacją na egzaminie maturalnym, będzie mógł odwołać się od wyniku. W tym celu należy uzyskać wgląd do swojej pracy. Maturzyści będą mieli na to sześć miesięcy od publikacji wyników.
Zobacz więcej: Matura 2024 z Brykiem
Matura 2024. Arkusze CKE i odpowiedzi w Interii
Od początku maturalnego maratonu w Interii abiturienci mogą odnaleźć oficjalne arkusze CKE, a także proponowane przez naszych ekspertów rozwiązania:










