Matura 2024. Matematyka podstawowa. Tutaj arkusz CKE i rozwiązania
Matura 2024, dzień drugi. Maturzyści przystąpili do obowiązkowego egzaminu z matematyki, który uchodzi wśród uczniów za ten najtrudniejszy do zdania. W Interii publikujemy oficjalny arkusz CKE w formule 2023 wraz z rozwiązaniami zaproponowanymi przez naszych ekspertów. Poniżej odpowiedzi na wszystkie maturalne zadania.

Spis treści:
- Matura 2024. Arkusz CKE i rozwiązania w Interii
- Matura 2024: Matematyka, arkusz CKE. Zadania 3-5
- Matura 2024 z matematyki. Arkusz CKE: Zadania 6-10
- Matura 2024: Matematyka, arkusz CKE. Zadania 11-14
- Matura 2024: Matematyka, arkusz CKE. Zadania 15-17
- Matura z matematyki 2024. Zadania 18-21
- Matura 2024: Matematyka, arkusz CKE. Zadania 22-25
- Matura 2024: Matematyka, arkusz CKE. Zadania 26-29
- Matura z matematyki 2024. Zadania otwarte
- Matura 2024: Matematyka, poziom podstawowy. Próg wynosi 30 proc.
- Matura 2024. Arkusz CKE i odpowiedzi z matematyki - poziom podstawowy
Każdego dnia Interia publikuje maturalne arkusze CKE wraz z rozwiązaniami zadań. Odpowiedzi z matematyki dostępne są w tym miejscu.
Matura 2024. Arkusz CKE i rozwiązania w Interii
Poniżej publikujemy arkusz CKE matury z matematyki w nowej formule.


W pierwszym zadaniu zdający musieli wskazać ilustrację spełniającą podaną w poleceniu nierówność.

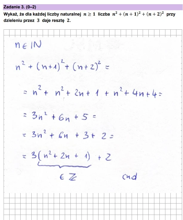
Matura 2024: Matematyka, arkusz CKE. Zadania 3-5
Zadanie nr 3 było pierwszym poleceniem otwartym - bez możliwości wskazania odpowiedzi spośród podanych wariantów.


Matura 2024 z matematyki. Arkusz CKE: Zadania 6-10
Na maturze z matematyki 2024 pojawiły się zadania dotyczące m.in. równań i nierówności.

Maturzyści mierzyli się także z pytaniami "prawda-fałsz", tak jak w zadaniu 8.


Matura 2024: Matematyka, arkusz CKE. Zadania 11-14
Kolejne zadanie zawierało ilustrację układu współrzędnych kartezjańskich. Zdający musieli wskazać układ równań, którego interpretację geometryczną przedstawiono na rysunku.

Kolejne zadania na maturze z matematyki dotyczyły funkcji liniowych.

Kolejne polecenia na maturze 2024 z matematyki dotyczyły funkcji kwadratowej.



Matura 2024: Matematyka, arkusz CKE. Zadania 15-17
Ciągi geometryczne i arytmetyczne - kolejne zagadnienie na maturze z matematyki.


Matura z matematyki 2024. Zadania 18-21


Matura 2024: Matematyka, arkusz CKE. Zadania 22-25




Matura 2024: Matematyka, arkusz CKE. Zadania 26-29


Matura z matematyki 2024. Zadania otwarte


Matura 2024: Matematyka, poziom podstawowy. Próg wynosi 30 proc.
Egzamin z matematyki na poziomie podstawowym jest obowiązkowy dla wszystkich zdających maturę. Test rozpoczął się 8 maja o godzinie 9. W przypadku formuły 2023 uczniowie mieli do dyspozycji 180 minut, z kolei zgodnie z formułą 2015 - 170 minut.
Egzamin z matematyki to jeden z tych z progiem zdawalności - aby zaliczyć maturę, trzeba zdobyć co najmniej 30 proc. możliwej do zgromadzenia liczby punktów.
Matura 2024. Arkusz CKE i odpowiedzi z matematyki - poziom podstawowy
Matematyka to ten egzamin, którego najbardziej obawia się większość zdających. Statystyki jasno wskazują, że jest to najczęściej oblewany przedmiot na maturze.
Zdawalność matury 2023 matematyki, w terminie głównym oraz dodatkowym, wyniosła 88 proc. Średnie wyniki matury 2023 z matematyki to: 71 proc. - w przypadku formuły 2023 oraz 51 proc. (formuła 2015).
Matura rozszerzona z matematyki odbędzie się 15 maja. Termin dodatkowy - dla tych, którzy z uzasadnionych powodów nie mogli napisać testu 8 maja - ustalono na 4 czerwca.
W przypadku rozszerzenia dodatkowy termin odbędzie się 11 czerwca. Egzamin poprawkowy zaplanowano na sierpień.
Wszystkie informacje związane z egzaminami dojrzałości znaleźć można w specjalnym raporcie matura 2024, a arkusze CKE i rozwiązania zadań w zakładce "Arkusze".
---
Najnowsze informacje dotyczące matury 2024 znajdziesz w naszym raporcie specjalnym - kliknij!
Bądź na bieżąco i zostań jednym z ponad 200 tys. obserwujących nasz fanpage - polub Interia Wydarzenia na Facebooku i komentuj tam nasze artykuły!













