Matura 2023: Fizyka rozszerzona. Są arkusze CKE i odpowiedzi
Fizyka na poziomie rozszerzonym – to z tego przedmiotu byli dziś egzaminowani maturzyści. Jakie zadania pojawiły się na maturze? Poniżej arkusz CKE – fizyka, poziom rozszerzony wraz z proponowanymi przez naszego eksperta odpowiedziami.

Fizyka na maturze 2023 jest na ósmym miejscu, jeśli chodzi o wybór wśród maturzystów z liceów i na siódmym w przypadku maturzystów z techników i szkół branżowych II stopnia. W całej Polsce maturę z tego przedmiotu pisało łącznie ponad 19 tys. osób. Co było na egzaminie? Zobaczcie sami!
Spis treści:
- Matura 2023: Fizyka poziom rozszerzony. Tutaj arkusze CKE i odpowiedzi
- Matura z fizyki 2023. Rozwiązania zadań od 3 do 5
- Matura z fizyki 2023. Rozwiązania zadań od 6 do 8
- Matura z fizyki 2023. Rozwiązania zadań od 9 do 11
- Matura 2023 z fizyki. Zasady oceniania arkuszy CKE
- Matura 2023. Egzaminy w dwóch formułach
- Matura 2023. Kiedy wyniki? Jak się odwołać?
Matura 2023: Fizyka poziom rozszerzony. Tutaj arkusze CKE i odpowiedzi
W tym miejscu znajdziesz arkusz CKE - fizyka, poziom rozszerzony, formuła 2023. Następnie będziemy publikować kolejne strony arkusza z naniesionymi propozycjami rozwiązań. Znajdziecie je poniżej. Zadania dla maturzystów rozwiązywał Patyk Bojarski.





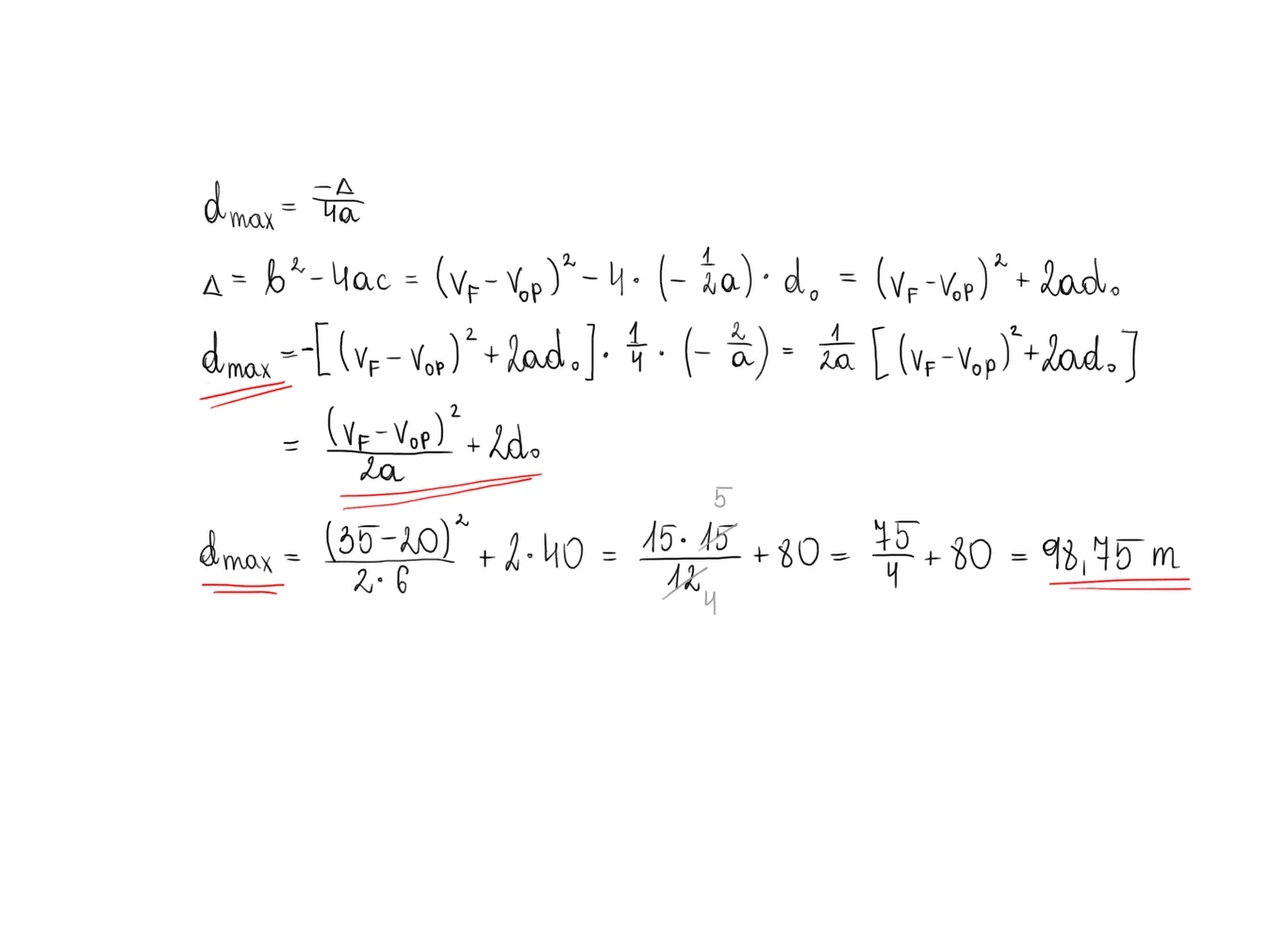
Matura z fizyki 2023. Rozwiązania zadań od 3 do 5








Matura z fizyki 2023. Rozwiązania zadań od 6 do 8






Matura z fizyki 2023. Rozwiązania zadań od 9 do 11





Zobacz także: Arkusz CKE: Fizyka rozszerzona, formuła 2015 (tutaj)
Matura 2023 z fizyki. Zasady oceniania arkuszy CKE
Za poprawne rozwiązanie wszystkich zadań na maturze 2023 z fizyki można otrzymać 60 punktów.
Za dobre odpowiedzi w zadaniach zamkniętych można uzyskać: 1 lub 2 punkty ( w zależności od rodzaju zadania). Z kolei za poprawne rozwiązanie zadania otwartego można otrzymać maksymalnie 1, 2, 3 lub 4 punkty. Za każde poprawne rozwiązanie, inne niż opisane w zasadach oceniania, można przyznać maksymalną liczbę punktów, o ile rozwiązanie jest merytorycznie poprawne, zgodne z poleceniem i warunkami zadania - zaznacza CKE."W rozwiązaniu zadań otwartych, dla których określono poszczególne etapy ich rozwiązania, wyróżniony został najważniejszy etap, nazywany pokonaniem zasadniczych trudności zadania. Przyjęto zasadę, że za pokonanie zasadniczych trudności zadania przyznaje się co najmniej połowę punktów, jakie można otrzymać za bezbłędne rozwiązanie danego zadania. Przed pokonaniem zasadniczych trudności zadania wyróżnia się jeszcze jeden etap (w przypadku zadań za 3 pkt) lub dwa etapy poprzedzające (w przypadku zadań za 4 pkt): dokonanie istotnego postępu w rozwiązaniu zadania oraz/lub dokonanie niewielkiego postępu, który jest konieczny do rozwiązania zadania" - wyjaśnia w informatorze maturalnym CKE.
Matura 2023. Egzaminy w dwóch formułach
Matura w formule 2023, jak określiła to Centralna Komisja Egzaminacyjna (CKE), jest dedykowana uczniom 4-letnich liceów ogólnokształcących (od 2023 r.) i 5-letnich techników (od 2024 r.). W tym roku do nowej matury podeszli więc tylko absolwenci 4-letnich liceów. W całym kraju było ich prawie 160 tys. Arkusze CKE, które rozwiązywali, były koloru fioletowego.
Arkusze CKE z formuły 2023: Matura 2023 z polskiego. Tu znajdziesz arkusz i odpowiedzi w nowej formule
Z kolei "starą maturę", czyli egzamin w formule 2015, zdawali głównie absolwenci techników, szkół branżowych II stopni oraz osoby poprawiające egzamin z poprzednich lat. W tym roku było ich w sumie ponad 137 tys. Oni z kolei rozwiązywali arkusze CKE w kolorze pomarańczowym.
Arkusze CKE z formuły 2015: Matura 2023 z polskiego. Tu publikujemy odpowiedzi w starej formule
Matura 2023. Kiedy wyniki? Jak się odwołać?
Wyniki matury 2023 ze wszystkich przedmiotów, w tym z fizyki, tegoroczni abiturienci poznają 7 lipca. Wtedy każdy maturzysta dowie się, jakie rezultaty osiągnął, CKE przedstawi też ogólne wyniki matury w sakli całego kraju.
Co jeśli wynik matury nie będzie dla ciebie satysfakcjonujący? Każdy maturzysta ma prawo do wglądu do swojego arkusza egzaminacyjnego, następnie może odwołać się od wyniku matury. Jak wygląda to w praktyce? Czytaj: Co zrobić, gdy na maturze zabrakło punktów, czyli jak się odwołać od wyników egzaminu










